Creative Monster
PantsPattern.png

CHALLENGES

WEDDING OFFICIATE

Challenge:

1. Become a licenced wedding officiate.

2. Travel to Canada.

3. Legally wed my best friend to his fiancé.

Medium: Legal, event planning, public speaking

Duration: September 13 2014

 

Last year, one of my oldest and closest friends proposed to his girlfriend, and they began planning their ceremony. As both are liberal and not at all religious, they opted for an alternative variation of a wedding ceremony, and to my surprise and instant excitement, asked if I'd preside over their nuptuals. Of course, I instantly accepted the honour of joining one of my favourite pairs in matrimony, then ate ribs and drank a beer with them. 

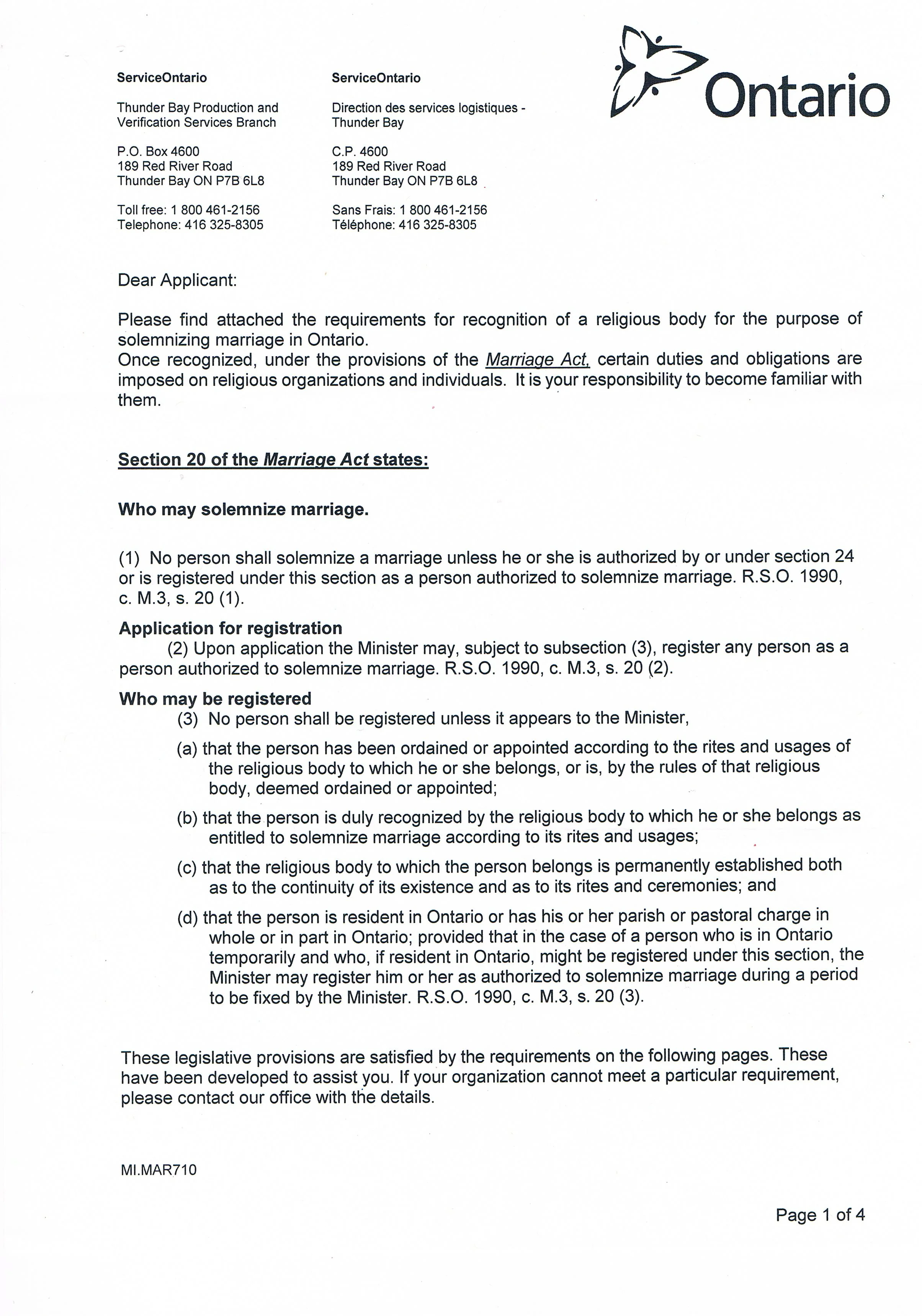
Like alcohol regulation, driving permissions and many other government-controlled services-turned-industries, Ontario has strategically complicated the formal recognition of love between two people. After thorough research, numerous phone calls and letters, it seems that the only way for an individual to legally marry a couple in Ontario is to be either a city clerk or a member of a religious group registered and legally recognized by the Marriage Department of the Ontario Government (yes, they're that serious about it).

In contrast to almost all other Canadian provinces and virtually all American states, Ontario requires specific background information and strict adherence to regulations in order to even schedule a wedding, let alone allow an atheist expat to fly back to marry his friends.

Ahhh, beurocracy.

I have appealed to all identifiable branches of the Ontario Provincial Government and various secular and spiritual groups in an effort to find some kind of loophole to take advantage of. Everyone (including the reps at the Ministry of Marriage) has been polite and helpful, but the only potential solution to the situation (outside of a civil union) is the small possibility that I will be recognized as a Pastafarian.

"Touched by his noodley appendage."

"Touched by his noodley appendage."

After spending $30, I am now an ordained Minister of the Church of the Flying Spaghetti Monster, and have a nice little certificate that tells me so. With an internationally renowned following, the FSM might just have enough credibility for the necessary recognition.

DankoOrdinationCertificate

After submitting my Temporary Wedding Officiate application and buying a return ticket to Toronto, I'll be back in Canada in September to check one more life goal from my Fuck It List. A follow-up to post in September will include photos and more!


UPDATE:

S U C C E S S

 

September 15 2014

Photo cred: R. Risling

Photo cred: R. Risling

I have since returned from performing my first Marriage: the picturesque union of Ryan and Lia, in Newcastle, Ontario.  As the officiate, anxiety kicked in about twenty-four hours prior to the actual event, and I have once again proven that I cannot wear anything white without ruining it within a few hours. Keeping my composure during the emotional ceremony is one of both the hardest and most satisfying things I've ever done, and it really was one of those storybook weddings, in farmland, at sunset, in light wind in late summer. 

Photo cred: R. Risling

Photo cred: R. Risling

If any couple ever asks you to marry them, 

DO IT. 
 

Shed whatever stage fright you might have, ignore the paranoia that you'll somehow ruin the day, find your cadence, have a shot, speak clearly and own that shit. It's worth spending the money, taking the time, traveling half way across the world and realizing, because hey -- how many times does that kind of opportunity arise? 

Thank you and GRATS R&L.

Photo cred: R. Risling

Photo cred: R. Risling